南无元音阿阇黎
元音老人圆寂和荼毗纪实

一代大德元音老人坐脱立亡
为元音老人荼毗法语
荼毗瑞相与舍利照片

上一页
下一页
浏览目录
欢迎访问佛法心中心论坛
 
 

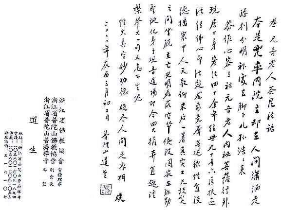
为元音老人荼毗法语
普陀山 道生法师

元音老人荼毗法会

为元音老人荼毗法语

  本是兜率内院主 却在人间潇洒走
  临别分明补处去 脚下儿孙浩浩来
  恭维心密三祖元音老人
  内秘菩萨行 外现居士身
  宏法四十余年 住世九十有六
  匡扶正法 传佛心印
  法筵龙象竞奔 著述称性直谈
  德播寰中 人天敬仰
  末后一着 真实工夫
  谈笑之间 坐脱立亡
  光明磊落 空华倏没
  圆寂在弥勒圣诞 化身于观音道场
  即今四大捐弃 直趣涅槃 举火一句又怎么生呢
  性火真空妙功德 烧尽人间是非相
  烧

二OOO年农历三月初二日 普陀山道生


  上一页 浏览目录 下一页  
 
 

This file is decompiled by an unregistered version of ChmDecompiler.
Regsitered version does not show this message.
You can download ChmDecompiler at : http://www.zipghost.com/